Permit Application Status

PRCOM20201168


In order to schedule inspections, you need to be signed in.

 / 

Note: You can collapse and expand individual sections by clicking the header of the section you wish to collapse/expand.

Summary
PRCOM20201168
Building Permit - Commercial
Certificate of Occupancy
LBP III LLC
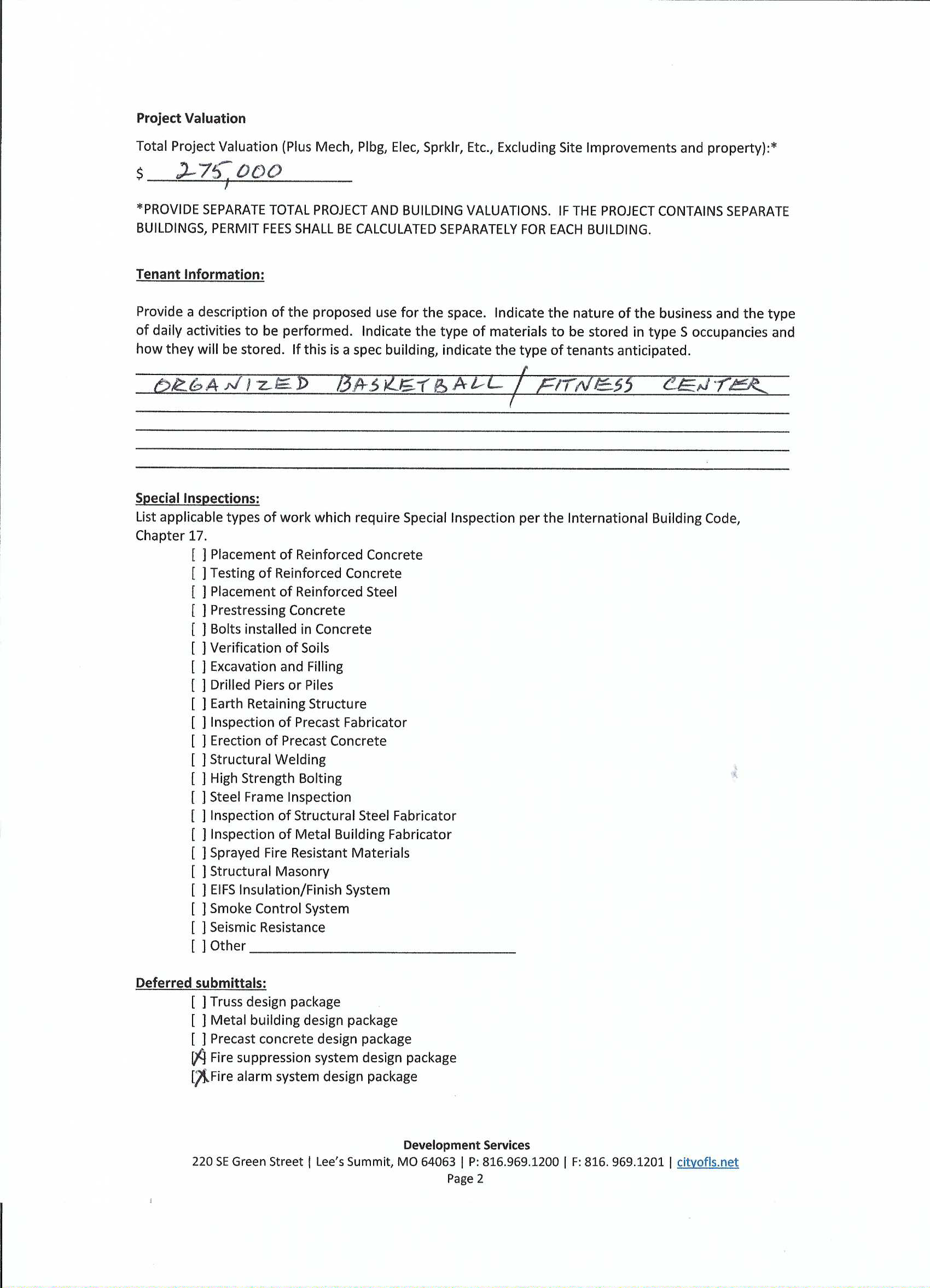
NEW TENANT FINISH
TENANT FINISH FOR BASKETBALL THEMED GYM
05/08/2020
06/09/2020
11/18/2020
03/15/2021
Locations
Contacts
WARD DEVELOPMENT & INVESTMENT CO, Address:1120 NW EAGLE RIDGE BLVD, Phone:(816) 229-8115  
F & G MECHANICAL SERVICES INC, Address:17219 BEL RAY PLACE, Phone:(816) 322-0810  
BLUE SPRINGS ELECTRICAL SERVICE, Address:3402 LAKE SHORE DR, Phone:(816) 224-9911  
R2 PLUMBING LLC, Address:1705 A SE COUNTY RD AA, Phone:(816) 215-8098  
SBC ARCHITECTURE, Address:3009 ELMIRA CT, Phone:(816) 797-7115  
LBP III LLC, Address:3170 NE CARNEGIE DR STE 400  
Reviews
Review Type Outcome Est. Completion Date Completed
Alarm Plan Review Released for Construction 06/23/2020
Michael Weissenbach
Installation acceptance testing
Corrective Action Required
06/23/2020

2018 IFC 901.5- Installation acceptance testing. Fire detection and alarm systems, fire-extinguishing systems, fire hydrant systems, fire standpipe systems, fire pump systems, private fire service mains and all other fire protection systems and appurtenances thereto shall be subject to acceptance tests as contained in the installation standards and as approved by the fire code official. The fire code official shall be notified before any required acceptance testing. The fire code official shall be notified 48 hours before any required acceptance test. (Informational Purposes) Call (816)969-1300 to schedule testing
Building Plan Review Approved with Conditions 06/04/2020 05/28/2020
Joe Frogge
Miscellaneous Correction
Corrective Action Required
05/28/2020

This permit is tied to a shell permit currently under construction. Certificate of Occupancy will not be granted prior to completion of shell permit. Action required: Comment is for informational purposes. 5/22 - acknowledged in letter.
Planning - Screening of rooftop equipment
Resolved
05/28/2020

Unified Development Ordinance Article 8, Section 8.180.E Roof mounted equipment – All roof-mounted equipment shall be screened entirely from view by using parapet walls at the same height as the mechanical units. For additions to existing buildings that do not meet this standard, individual screens will be permitted, with the design subject to approval by the Director. Action required: Comment is for informational purposes. Proposed screening is allowed only if painted to match building. Or you can provide verification that parapets are tall enough to screen new equipment. To be field verified. 5/22 - not addressed
Gen - Plan submittals 2018 codes
Resolved
05/28/2020

All plans submitted for review on or after April 1, 2019 shall be designed to the requirements of the 2018 International Building Code, 2018 International Mechanical Code, 2018 International Plumbing Code, 2018 International Fuel Gas Code, 2018 International Fire Code, 2017 National Electric Code and the ICC/ANSI A117.1-2009 as amended and adopted by the City of Lee’s Summit. Actions required: - - Update code references in General Note #1 of Sheet M101. 5/22 - Note still references 1994 UMC
Fire Plan Review Approved with Conditions 06/04/2020 05/28/2020
Michael Weissenbach
Posting of occupant load
Corrective Action Required
05/28/2020

2018 IFC 1004.3- Posting of occupant load. Every room or space that is an assembly occupancy shall have the occupant load of the room or space posted in a conspicuous place, near the main exit or exit access doorway from the room or space. Posted signs shall be of an approved legible permanent design and shall be maintained by the owner or authorized agent. (Verified At Inspection) Post occupant load sign at 304
Construction documents for fire alarm systems
Corrective Action Required
05/28/2020

2018 IFC 907.1.1- Construction documents. Construction documents for fire alarm systems shall be submitted for review and approval prior to system installation. Construction documents shall include, but not be limited to, all of the following: 1. .A floor plan which indicates the use of all rooms. 2. Locations of alarm-initiating and notification appliances. 3. Alarm control and trouble signaling equipment. 4. Annunciation. 5. Power connection. 6. Battery calculations. 7. Conductor type and sizes. 8. Voltage drop calculations. 9. Manufacturers, model numbers and listing information for equipment, devices and materials. 10. Details of ceiling height and construction. 11. The interface of fire safety control functions. (Action Required) Any modifications to the fire alarm system, provide PE stamped electronic shop drawings to mike.weissenbach@cityofls.net
Address numbers required
Corrective Action Required
05/28/2020

2018 IFC 505.1- Address numbers. New and existing buildings shall have approved address numbers, building numbers or approved building identification placed in a position that is plainly legible and visible from the street or road fronting the property. These numbers shall contrast with their background. In Multi-tenant commercial building where tenants have multiple entrances located on different sides of the building , each door shall be addressed. Address numbers shall be Arabic numerals or alphabet letters. Numbers shall be a minimum of 4 inches (102 mm) high with a minimum stroke width of 0.5 inch (12.7 mm). (Verified At Inspection) Address the three exit doors.
Knox box required
Corrective Action Required
05/28/2020

2018 IFC 506.1- Where required. Where access to or within a structure or an area is restricted because of secured openings or where immediate access is necessary for life-saving or fire-fighting purposes, the fire code official is authorized to require a key box to be installed in an approved location. The key box shall be of an approved type and shall contain keys to gain necessary access as required by the fire code official. (Informational Purposes) Knox Box is not required. The shell permit has one at the sprinkler room entrance to control the sprinklers for the entire building. If you want the FD to have access to your space a Knox Box can be obtained by ordering at knoxbox.com.
Construction documents - Fire protection systems
Corrective Action Required
05/28/2020

2018 IFC 901.2- Construction documents. The fire code official shall have the authority to require construction documents and calculations for all fire protection systems and to require permits be issued for the installation, rehabilitation or modification of any fire protection system. Construction documents for fire protection systems shall be submitted for review and approval prior to system installation. (Action Required) Any modifications to the fire sprinkler system, provide PE stamped electonic shop drawings to mike.weissenbach@cityofls.net
Installation acceptance testing
Corrective Action Required
05/28/2020

2018 IFC 901.5- Installation acceptance testing. Fire detection and alarm systems, fire-extinguishing systems, fire hydrant systems, fire standpipe systems, fire pump systems, private fire service mains and all other fire protection systems and appurtenances thereto shall be subject to acceptance tests as contained in the installation standards and as approved by the fire code official. The fire code official shall be notified before any required acceptance testing. The fire code official shall be notified 48 hours before any required acceptance test. (Informational Purposes) Call (816)969-1300 to schedule testing.
Licensed Contractors Approved 06/04/2020 05/28/2020
Joe Frogge
Building Plan Review Rejected 05/29/2020 05/22/2020
Joe Frogge
Miscellaneous Correction
Corrective Action Required
05/21/2020

This permit is tied to a shell permit currently under construction. Certificate of Occupancy will not be granted prior to completion of shell permit. Action required: Comment is for informational purposes. 5/22 - acknowledged in letter.
Planning - Screening of rooftop equipment
Corrective Action Required
05/21/2020

Unified Development Ordinance Article 8, Section 8.180.E Roof mounted equipment – All roof-mounted equipment shall be screened entirely from view by using parapet walls at the same height as the mechanical units. For additions to existing buildings that do not meet this standard, individual screens will be permitted, with the design subject to approval by the Director. Action required: Comment is for informational purposes. Proposed screening is allowed only if painted to match building. Or you can provide verification that parapets are tall enough to screen new equipment. To be field verified. 5/22 - not addressed
Gen - Plan submittals 2018 codes
Corrective Action Required
05/21/2020

All plans submitted for review on or after April 1, 2019 shall be designed to the requirements of the 2018 International Building Code, 2018 International Mechanical Code, 2018 International Plumbing Code, 2018 International Fuel Gas Code, 2018 International Fire Code, 2017 National Electric Code and the ICC/ANSI A117.1-2009 as amended and adopted by the City of Lee’s Summit. Actions required: - - Update code references in General Note #1 of Sheet M101. 5/22 - Note still references 1994 UMC
ICC A117.1 404.2.3.2 Swinging Doors Maneuvering Clearance
Resolved
05/22/2020

ICC A117.1 Section 404.2.3.2 Swinging Doors and gates. Swinging doors and gates shall have maneuvering clearances complying with Table 404.2.3.2. Action required: Provide minimum 18" clearance at latch side of door out of Supply room.
IBC 603.1 Type of Construction - Allowable Materials
Resolved
05/22/2020

2018 IBC 603.1 Allowable Materials. Combustible materials shall be permitted in buildings of Type I or II construction in the following applications and in accordance with Sections 603.1.1 through 603.1.3: (see code for specific examples and exceptions) Action required: Replace wood joists and decking above showers with compliant materials.
ICC A117.1 608.1 Shower compartments
Resolved
05/22/2020

ICC A117.1 Section 608.1 General. Shower compartments shall comply with Section 608. Action required: Specify shower grab bars, seats, and control locations.
IMC 403.2 Outdoor air required
Resolved
05/22/2020

2018 IMC 403.2 Outdoor air required. The minimum outdoor airflow rate shall be determined in accordance with Section 403.3. (see code for exception) Action required: Revise drawings to show outside air calculations as well as method of delivery. Action required: Provide outdoor air calculations and method of delivery.
IPC 604.9 Water hammer
Resolved
05/22/2020

2018 IPC 604.9 Water hammer. The flow velocity of the water distribution system shall be controlled to reduce the possibility of water hammer. A water-hammer arrestor shall be installed where quick-closing valves are utilized. Water-hammer arrestors shall be installed in accordance with the manufacturer’s instructions. Water-hammer arrestors shall conform to ASSE 1010. Action required: Specify compliant water hammer arrestors. Air chambers not allowed.
Licensed Contractors Approved 05/29/2020 05/22/2020
Joe Frogge
Fire Plan Review Approved with Conditions 05/29/2020 05/21/2020
Michael Weissenbach
Posting of occupant load
Corrective Action Required
05/21/2020

2018 IFC 1004.3- Posting of occupant load. Every room or space that is an assembly occupancy shall have the occupant load of the room or space posted in a conspicuous place, near the main exit or exit access doorway from the room or space. Posted signs shall be of an approved legible permanent design and shall be maintained by the owner or authorized agent. (Verified At Inspection) Post occupant load sign at 304
Construction documents for fire alarm systems
Corrective Action Required
05/21/2020

2018 IFC 907.1.1- Construction documents. Construction documents for fire alarm systems shall be submitted for review and approval prior to system installation. Construction documents shall include, but not be limited to, all of the following: 1. .A floor plan which indicates the use of all rooms. 2. Locations of alarm-initiating and notification appliances. 3. Alarm control and trouble signaling equipment. 4. Annunciation. 5. Power connection. 6. Battery calculations. 7. Conductor type and sizes. 8. Voltage drop calculations. 9. Manufacturers, model numbers and listing information for equipment, devices and materials. 10. Details of ceiling height and construction. 11. The interface of fire safety control functions. (Action Required) Any modifications to the fire alarm system, provide PE stamped electronic shop drawings to mike.weissenbach@cityofls.net
Address numbers required
Corrective Action Required
05/21/2020

2018 IFC 505.1- Address numbers. New and existing buildings shall have approved address numbers, building numbers or approved building identification placed in a position that is plainly legible and visible from the street or road fronting the property. These numbers shall contrast with their background. In Multi-tenant commercial building where tenants have multiple entrances located on different sides of the building , each door shall be addressed. Address numbers shall be Arabic numerals or alphabet letters. Numbers shall be a minimum of 4 inches (102 mm) high with a minimum stroke width of 0.5 inch (12.7 mm). (Verified At Inspection) Address the three exit doors.
Knox box required
Corrective Action Required
05/21/2020

2018 IFC 506.1- Where required. Where access to or within a structure or an area is restricted because of secured openings or where immediate access is necessary for life-saving or fire-fighting purposes, the fire code official is authorized to require a key box to be installed in an approved location. The key box shall be of an approved type and shall contain keys to gain necessary access as required by the fire code official. (Informational Purposes) Knox Box is not required. The shell permit has one at the sprinkler room entrance to control the sprinklers for the entire building. If you want the FD to have access to your space a Knox Box can be obtained by ordering at knoxbox.com.
Construction documents - Fire protection systems
Corrective Action Required
05/21/2020

2018 IFC 901.2- Construction documents. The fire code official shall have the authority to require construction documents and calculations for all fire protection systems and to require permits be issued for the installation, rehabilitation or modification of any fire protection system. Construction documents for fire protection systems shall be submitted for review and approval prior to system installation. (Action Required) Any modifications to the fire sprinkler system, provide PE stamped electonic shop drawings to mike.weissenbach@cityofls.net
Installation acceptance testing
Corrective Action Required
05/21/2020

2018 IFC 901.5- Installation acceptance testing. Fire detection and alarm systems, fire-extinguishing systems, fire hydrant systems, fire standpipe systems, fire pump systems, private fire service mains and all other fire protection systems and appurtenances thereto shall be subject to acceptance tests as contained in the installation standards and as approved by the fire code official. The fire code official shall be notified before any required acceptance testing. The fire code official shall be notified 48 hours before any required acceptance test. (Informational Purposes) Call (816)969-1300 to schedule testing.
Building Plan Review Rejected 05/20/2020 05/12/2020
Joe Frogge
Miscellaneous Correction
Corrective Action Required
05/08/2020

This permit is tied to a shell permit currently under construction. Certificate of Occupancy will not be granted prior to completion of shell permit. Action required: Comment is for informational purposes.
Planning - Screening of rooftop equipment
Corrective Action Required
05/08/2020

Unified Development Ordinance Article 8, Section 8.180.E Roof mounted equipment – All roof-mounted equipment shall be screened entirely from view by using parapet walls at the same height as the mechanical units. For additions to existing buildings that do not meet this standard, individual screens will be permitted, with the design subject to approval by the Director. Action required: Comment is for informational purposes. Proposed screening is allowed only if painted to match building. Or you can provide verification that parapets are tall enough to screen new equipment. To be field verified.
IBC 1606.2 Design dead load - structural
Resolved
05/14/2020

2018 IBC 1606.2 Design dead load. For purposes of design, the actual weights of materials of construction and fixed service equipment shall be used. In the absence of definite information, values used shall be subject to the approval of the building official. Action required: Provide engineer's design or report to verify that roof structure will support additional load from roof mounted equipment. 5/14/20 - see letter in documents folder
Gen - Plan submittals 2018 codes
Corrective Action Required
05/08/2020

All plans submitted for review on or after April 1, 2019 shall be designed to the requirements of the 2018 International Building Code, 2018 International Mechanical Code, 2018 International Plumbing Code, 2018 International Fuel Gas Code, 2018 International Fire Code, 2017 National Electric Code and the ICC/ANSI A117.1-2009 as amended and adopted by the City of Lee’s Summit. Actions required: - Update code analysis on Cover Sheet to show corrected accessibility code which is ICC/ANSI A117.1-2009. (we recently reverted back to the 2009) - Update code references in General Note #1 of Sheet M101.
ICC A117.1 404.2.3.2 Swinging Doors Maneuvering Clearance
Corrective Action Required
05/12/2020

ICC A117.1 Section 404.2.3.2 Swinging Doors and gates. Swinging doors and gates shall have maneuvering clearances complying with Table 404.2.3.2. Action required: Provide minimum 18" clearance at latch side of door out of Supply room.
IBC 603.1 Type of Construction - Allowable Materials
Corrective Action Required
05/12/2020

2018 IBC 603.1 Allowable Materials. Combustible materials shall be permitted in buildings of Type I or II construction in the following applications and in accordance with Sections 603.1.1 through 603.1.3: (see code for specific examples and exceptions) Action required: Replace wood joists and decking above showers with compliant materials.
ICC A117.1 608.1 Shower compartments
Corrective Action Required
05/12/2020

ICC A117.1 Section 608.1 General. Shower compartments shall comply with Section 608. Action required: Specify shower grab bars, seats, and control locations.
IMC 403.2 Outdoor air required
Corrective Action Required
05/12/2020

2018 IMC 403.2 Outdoor air required. The minimum outdoor airflow rate shall be determined in accordance with Section 403.3. (see code for exception) Action required: Revise drawings to show outside air calculations as well as method of delivery. Action required: Provide outdoor air calculations and method of delivery.
IPC 604.9 Water hammer
Corrective Action Required
05/12/2020

2018 IPC 604.9 Water hammer. The flow velocity of the water distribution system shall be controlled to reduce the possibility of water hammer. A water-hammer arrestor shall be installed where quick-closing valves are utilized. Water-hammer arrestors shall be installed in accordance with the manufacturer’s instructions. Water-hammer arrestors shall conform to ASSE 1010. Action required: Specify compliant water hammer arrestors. Air chambers not allowed.
Zoning Review Approved 05/20/2020 05/12/2020
Joe Frogge
Fire Plan Review Approved with Conditions 05/20/2020 05/11/2020
Michael Weissenbach
Posting of occupant load
Corrective Action Required
05/11/2020

2018 IFC 1004.3- Posting of occupant load. Every room or space that is an assembly occupancy shall have the occupant load of the room or space posted in a conspicuous place, near the main exit or exit access doorway from the room or space. Posted signs shall be of an approved legible permanent design and shall be maintained by the owner or authorized agent. (Verified At Inspection) Post occupant load sign at 304
Construction documents for fire alarm systems
Corrective Action Required
05/11/2020

2018 IFC 907.1.1- Construction documents. Construction documents for fire alarm systems shall be submitted for review and approval prior to system installation. Construction documents shall include, but not be limited to, all of the following: 1. .A floor plan which indicates the use of all rooms. 2. Locations of alarm-initiating and notification appliances. 3. Alarm control and trouble signaling equipment. 4. Annunciation. 5. Power connection. 6. Battery calculations. 7. Conductor type and sizes. 8. Voltage drop calculations. 9. Manufacturers, model numbers and listing information for equipment, devices and materials. 10. Details of ceiling height and construction. 11. The interface of fire safety control functions. (Action Required) Any modifications to the fire alarm system, provide PE stamped electronic shop drawings to mike.weissenbach@cityofls.net
Address numbers required
Corrective Action Required
05/11/2020

2018 IFC 505.1- Address numbers. New and existing buildings shall have approved address numbers, building numbers or approved building identification placed in a position that is plainly legible and visible from the street or road fronting the property. These numbers shall contrast with their background. In Multi-tenant commercial building where tenants have multiple entrances located on different sides of the building , each door shall be addressed. Address numbers shall be Arabic numerals or alphabet letters. Numbers shall be a minimum of 4 inches (102 mm) high with a minimum stroke width of 0.5 inch (12.7 mm). (Verified At Inspection) Address the three exit doors.
Knox box required
Corrective Action Required
05/11/2020

2018 IFC 506.1- Where required. Where access to or within a structure or an area is restricted because of secured openings or where immediate access is necessary for life-saving or fire-fighting purposes, the fire code official is authorized to require a key box to be installed in an approved location. The key box shall be of an approved type and shall contain keys to gain necessary access as required by the fire code official. (Informational Purposes) Knox Box is not required. The shell permit has one at the sprinkler room entrance to control the sprinklers for the entire building. If you want the FD to have access to your space a Knox Box can be obtained by ordering at knoxbox.com.
Construction documents - Fire protection systems
Corrective Action Required
05/11/2020

2018 IFC 901.2- Construction documents. The fire code official shall have the authority to require construction documents and calculations for all fire protection systems and to require permits be issued for the installation, rehabilitation or modification of any fire protection system. Construction documents for fire protection systems shall be submitted for review and approval prior to system installation. (Action Required) Any modifications to the fire sprinkler system, provide PE stamped electonic shop drawings to mike.weissenbach@cityofls.net
Installation acceptance testing
Corrective Action Required
05/11/2020

2018 IFC 901.5- Installation acceptance testing. Fire detection and alarm systems, fire-extinguishing systems, fire hydrant systems, fire standpipe systems, fire pump systems, private fire service mains and all other fire protection systems and appurtenances thereto shall be subject to acceptance tests as contained in the installation standards and as approved by the fire code official. The fire code official shall be notified before any required acceptance testing. The fire code official shall be notified 48 hours before any required acceptance test. (Informational Purposes) Call (816)969-1300 to schedule testing.
Licensed Contractors Approved 05/20/2020 05/08/2020
Joe Frogge
Licensed Contractors Approved 05/20/2020 05/08/2020
Joe Frogge
Fees
Paid Fees Amount Paid Owing Date Paid
Valuation Fee for New Tenent Finish $1,100.00 $1,100.00 Paid 06/09/2020
8331506-EFHB Maybrook, Full $724.37 $724.37 Paid 06/09/2020
8331507-Sewer Connection Fee $510.00 $510.00 Paid 06/09/2020
Commercial Excise Tax Fee $39,292.50 $39,292.50 Paid 06/09/2020
Outstanding Fees Amount Paid Owing Date Paid
No outstanding fees.


$0.00
Inspections
Inspection Outcome Requested Scheduled Date Inspected
Underslab Plumbing Inspection - Commercial Passed 7/1/2020 7/1/2020 at 1:10 PM 07/01/2020
In-wall Inspection Partial 7/29/2020 7/29/2020 at 1:20 PM 07/29/2020
Misc
Partial Correction
07/29/2020
IN-WALL OK TO ROCK: 10 FT SECTION OF THE SUPPLY RM/DEMISING WALL
Electrical Service Inspection Passed 8/4/2020 08/04/2020
In-wall Inspection Partial 8/10/2020 8/7/2020 08/07/2020
Misc
Partial Correction
07/29/2020
IN-WALL OK TO ROCK: DEMISING WALLS
In-wall Inspection Failed 8/11/2020 8/11/2020 at 8:10 AM 08/11/2020
Misc
Partial Correction
08/07/2020
IN-WALL OK TO ROCK: DEMISING WALLS CORRECTIONS REQUIRED: -Protect laundry rm plumbing from damage. Complete plumbing -Support pvc vertically every ten ft or less -Protect water lines where within 1.25” of stud/track surface -Complete locker/bathroom wall and electrical
In-wall Inspection Partial 8/13/2020 8/13/2020 at 9:20 AM 08/13/2020
Misc
Partial Correction
08/11/2020
IN-WALL OK TO ROCK: DEMISING WALLS, ALL INTERIOR SPACES EXCEPT BELOW -Complete men's locker/bathroom wall and electrical
Gas Service Inspection - Commercial Passed 8/20/2020 08/20/2020
In-wall Inspection Passed 8/20/2020 8/20/2020 at 9:10 AM 08/20/2020
Misc
Resolved
08/20/2020
IN-WALL OK TO ROCK: DEMISING WALLS, ALL INTERIOR SPACES EXCEPT BELOW -Complete men's locker/bathroom wall and electrical
Above Ceiling Inspection Passed 9/15/2020 9/15/2020 09/15/2020
Alarm Test Passed 9/24/2020 09/24/2020
Occupancy Inspection - Fire Passed 9/28/2020 09/28/2020
Occupancy Inspection - Codes Commercial Failed 9/28/2020 9/28/2020 09/28/2020
Misc
Corrective Action Required
09/28/2020
-RECEPTION DESK MEETING ADA REQUIREMENT NOT INSTALLED -PANIC OR FIRE EXIT HARDWARE REQUIRED PER IBC 1010.1.10. DOES NOT MEET EXCEPTION 1->1010.1.9.4(2). OCCUPANT LOAD EXCEED 300
Occupancy Inspection - Codes Commercial Temporary C of O 9/29/2020 9/29/2020 09/29/2020
Misc
Corrective Action Required
09/28/2020
-RECEPTION DESK MEETING ADA REQUIREMENT NOT INSTALLED -PROVIDE DOOR LABELING IN COMPLIANCE WITH IBC 1010.1.9.4(2)
Occupancy Inspection - Codes Commercial Temporary C of O 10/22/2020 10/22/2020
Misc
Corrective Action Required
09/29/2020
-RECEPTION DESK MEETING ADA REQUIREMENT NOT INSTALLED
Occupancy Inspection - Codes Commercial Full C of O 03/15/2021
Misc
Resolved
03/15/2021
-RECEPTION DESK MEETING ADA REQUIREMENT NOT INSTALLED
Documents & Images
Date Uploaded File Type Document Name
05/08/2020 Application Form LS App 1
05/08/2020 LS App 2
05/08/2020 LS App 3
05/08/2020 LS App 4
05/08/2020 LS Lic Tax 1
05/08/2020 LS Lic Tax 2
05/08/2020 LS Lic Tax 3
05/08/2020 LS Lic Tax 4
05/08/2020 Pickup USA Fitness-A102
05/08/2020 Pickup USA Fitness-A101 (4)
05/08/2020 Pickup USA Fitness-CVR
05/08/2020 Pickup USA Fitness-A103
05/08/2020 Pickup USA MEP-1
05/08/2020 Pickup USA E101
05/08/2020 Pickup USA M101
05/08/2020 Pickup USA P101
05/08/2020 Pickup USA P102
05/08/2020 Pickup USA E102
05/11/2020 LT info
05/11/2020 Letter License Tax Bill
05/11/2020 RE zoning question
05/11/2020 Letter Fire Building Plan Review
05/12/2020 Letter DS P/R Corrections Document
05/14/2020 Engineer Report/Study RTU Roof Load Acceptance
05/21/2020 Letter Arch Response letter 1
05/21/2020 Letter MEP Response Letter 1
05/21/2020 Plans Revised Cover Sheet
05/21/2020 Plans Revised A103
05/21/2020 Plans Revised A101
05/21/2020 Plans Pickup USA Fitness-A102
05/21/2020 Plans Revised P102
05/21/2020 Plans Revised P101
05/21/2020 Plans Revised M101
05/21/2020 Letter Fire Building Plan Review
05/22/2020 Letter DS P/R Corrections Document
05/28/2020 Letter Arch Response Letter 2
05/28/2020 Plans Pickup USA Fitness-A102
05/28/2020 Plans MEP Code Revision
05/28/2020 Letter Fire Building Plan Review
05/28/2020 Email RE Pickup USA Fitness-A105 pdf
05/28/2020 Approved Plans Approved plan set
06/09/2020 Receipt Receipt for transaction: 2020-002783
06/09/2020 Letter DS Building Permit
06/23/2020 Letter Fire (Alarm) Plan Review Notice
07/01/2020 Letter INSPECTION SUMMARY
07/29/2020 Letter INSPECTION SUMMARY
08/04/2020 Letter INSPECTION SUMMARY
08/07/2020 Letter INSPECTION SUMMARY
08/11/2020 Letter INSPECTION SUMMARY
08/13/2020 Letter INSPECTION SUMMARY
08/20/2020 Letter INSPECTION SUMMARY
08/20/2020 Letter INSPECTION SUMMARY
09/15/2020 Letter INSPECTION SUMMARY
09/24/2020 Approved Plans approved - Demizing Wall Addendum
09/28/2020 Letter INSPECTION SUMMARY
09/29/2020 Approved Plans approved - CVR
09/29/2020 Letter Codes Temporary Certificate of Occupancy
09/29/2020 Letter INSPECTION SUMMARY
09/29/2020 Letter INSPECTION SUMMARY
09/29/2020 Letter Codes Plan Review Conditions
10/22/2020 Letter Codes Temporary Certificate of Occupancy
03/15/2021 Letter Codes Final Certificate of Occupancy
03/15/2021 Letter Field Certificate of Occupancy
Upload Documents

Guidelines For Electronically Submitting Documents:

  • Submitted documents should be under 100MB in size.
  • Accepted file extensions:
    • pdf, jpg, xls, doc, xlsx, docx, dwg
  • All plans shall be to scale.
  • Recommended naming conventions:
    • Keep filename consistent.
    • Avoid the use of non-friendly filenames. (ex. k9dk38fj3.pdf)
    • Avoid inappropriate language in filenames.
  • Submitted documents will be stamped at the conclusion of the review.
    • The stamp will be placed in the upper right hand corner of the document. It is recommeded that this area, to the extent possible, be left blank so that no information is lost when the the stamp is applied.
Remember to click the Upload Document button. If you are applying for a New permit, make sure to click the "next step" button after you have completed the upload of documents

Select any documents you wish to provide:





Portal Home