Permit Application Status

PRRES20215795


In order to schedule inspections, you need to be signed in.

 / 

Note: You can collapse and expand individual sections by clicking the header of the section you wish to collapse/expand.

Summary
PRRES20215795
Building Permit - Residential
Voided
NEW SINGLE FAMILY
NEW HOUSE. COVERED PATIO. FINISHED BASEMENT.
11/05/2021
05/31/2022
02/10/2022
Locations
Contacts
ASPEN HOME BUILDERS LLC, Address:6618 ROYAL ST #B, Phone:(816) 507-0123  
Trevor Wiest, Address:6618 Royal St Suite B , Phone:(816) 728-9115  
  
ARROW CIRCLE ELECTRIC, Address:1224 SE CENTURY DR, Phone:(816) 373-4888  
MILLER PLUMBING CO, Address:PO BOX 393 , Phone:(913) 851-1333  
trevor@aspenhomeskc.com  
Reviews

There are no reviews for this permit application.

Inspections

There are no inspections for this permit application.

Documents & Images
Date Uploaded File Type Document Name
11/05/2021 LOT 6 FINAL
11/05/2021 Birch Lot 6 HF
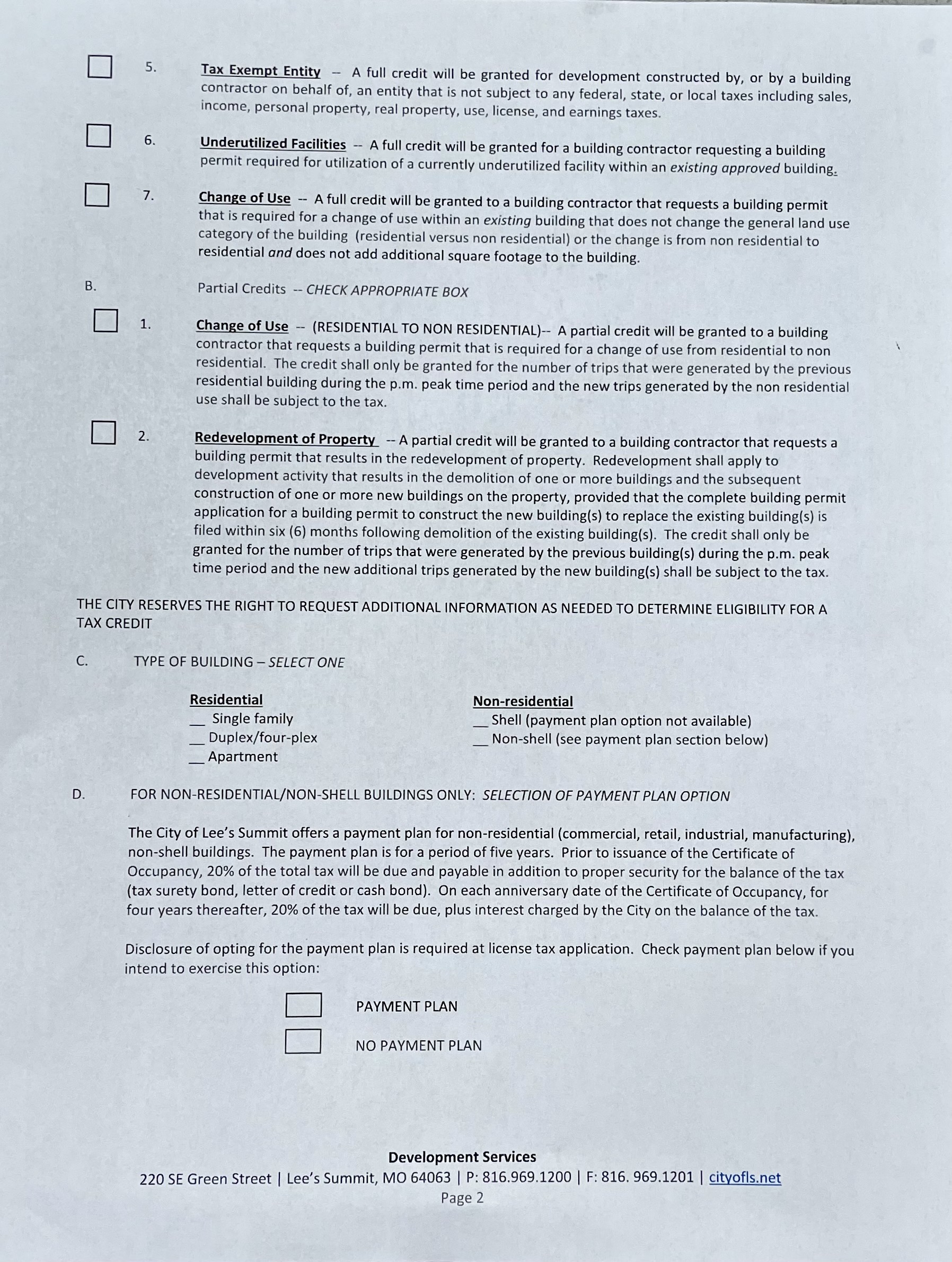
11/29/2021 Tax Application 2
11/29/2021 HF 6 Permit App
11/29/2021 HF 6 Tax Application
11/29/2021 Tax Application 3
11/29/2021 Permit App Cont
11/29/2021 Tax Application 4
12/02/2021 Permit Codes Residential Plan Review
Upload Documents

Guidelines For Electronically Submitting Documents:

  • Submitted documents should be under 100MB in size.
  • Accepted file extensions:
    • pdf, jpg, xls, doc, xlsx, docx, dwg
  • All plans shall be to scale.
  • Recommended naming conventions:
    • Keep filename consistent.
    • Avoid the use of non-friendly filenames. (ex. k9dk38fj3.pdf)
    • Avoid inappropriate language in filenames.
  • Submitted documents will be stamped at the conclusion of the review.
    • The stamp will be placed in the upper right hand corner of the document. It is recommeded that this area, to the extent possible, be left blank so that no information is lost when the the stamp is applied.
Remember to click the Upload Document button. If you are applying for a New permit, make sure to click the "next step" button after you have completed the upload of documents

Select any documents you wish to provide:





Portal Home